服務熱線:
傳真:0769-2289 9811
手機:18925574911
郵箱:market@leelool.com網址:m.media168.com.cn
地址:廣東省東莞市松山湖園區新竹路7號1棟102室

本標準按照GB/T 1.1-2009給出的規則起草。
本標準代替《山東省區域性大氣污染物綜合排放標準》(DB37/ 2376-2013),與DB37/ 2376-2013相比主要技術變化如下:
——調整了標準范圍;
——調整了部分行業或部分區域污染物排放控制要求;
——調整了部分行業基準氧含量;
——明確了達標判定方法。
現有企業在執行本標準前的過渡期內,執行《山東省區域性大氣污染物綜合排放標準》(DB37/ 2376-2013)。
本標準由山東省生態環境廳提出。
本標準由山東省環保標準化技術委員會歸口。
本標準起草單位:山東省生態環境規劃研究院。
本標準主要起草人:謝剛、史會劍、蘇志慧、李玄、李昕婧。
本標準首次發布于2013年,本次為第一次修訂。
區域性大氣污染物綜合排放標準
1 、范圍
本標準規定了山東省固定源大氣二氧化硫、氮氧化物及顆粒物三種污染物的排放限值和監測要求,以及標準的實施與監督等相關規定。本標準未作規定的控制指標,國家或山東省有相關標準及監測方法的,按相關標準要求執行。
本標準適用于山東省現有企業或生產設施的大氣污染物排放管理,以及新建、改建、擴建項目的環境影響評價、環境保護設施設計、環境保護設施驗收、排污許可及其投產后的大氣污染物排放管理。
本標準不適用于火電廠、鋼鐵工業、建材工業、鍋爐、飲食業油煙、生活垃圾焚燒及火葬場等企業或生產設施的大氣污染物排放管理,上述企業或生產設施按山東省或國家相應污染物排放標準的有關要求執行。
2 、規范性引用文件
下列文件對于本文件的應用是必不可少的。凡是注日期的引用文件,僅所注日期的版本適用于本文件。凡是不注日期的引用文件,其最新版本(包括所有的修改單)適用于本文件。
GB/T 16157 固定污染源排氣中顆粒物測定與氣態污染物采樣方法
HJ/T 42 固定污染源排氣中氮氧化物的測定 紫外分光光度法
HJ/T 43 固定污染源排氣中氮氧化物的測定 鹽酸萘乙二胺分光光度法
HJ/T 56 固定污染源排氣中二氧化硫的測定 碘量法
HJ 57 固定污染源廢氣 二氧化硫的測定 定電位電解法
HJ 75 固定污染源煙氣(SO2、NOX、顆粒物)排放連續監測技術規范
HJ 76 固定污染源煙氣(SO2、NOX、顆粒物)排放連續監測系統技術要求及檢測方法
HJ/T 373 固定污染源監測質量保證與質量控制技術規范(試行)
HJ/T 397 固定源廢氣監測技術規范
HJ 629 固定污染源廢氣 二氧化硫的測定 非分散紅外吸收法
HJ 675 固定污染源排氣 氮氧化物的測定 酸堿滴定法
HJ 692 固定污染源廢氣 氮氧化物的測定 非分散紅外吸收法
HJ 693 固定污染源廢氣 氮氧化物的測定 定電位電解法
HJ 819 排污單位自行監測技術指南 總則
HJ 836 固定污染源廢氣 低濃度顆粒物的測定 重量法
3 、術語和定義
下列術語和定義適用于本文件。
3.1
固定源 stationary source
燃燒設備以及生產過程中產生的通過排氣筒向空中排放的廢氣污染源。
3.2
現有企業 existing facility
本標準實施之日前,已建成投產或環境影響評價文件已通過審批、審核或備案的企業或生產設施。
3.3
新建企業 new facility
本標準實施之日起,環境影響評價文件通過審批、審核或備案的新建、改建和擴建建設項目或生產設施。
3.4
標準狀態 standard condition
溫度為273.15 K,壓力為101 325 Pa時的狀態,簡稱“標態”。本標準規定的大氣污染物排放濃度均指標準狀態下干煙氣中的數值。
3.5
爐窯干燥尾氣 dry tail gas for kiln and furnace
利用爐窯產生的熱煙氣,摻混一定量的新鮮空氣,對物料進行干燥過程中產生的廢氣。
3.6
單位產品基準排氣量 benchmark exhaust volume per unit product
用于核定大氣污染物排放濃度而規定的生產單位產品的排氣量上限值。
3.7
氧含量 oxygen content
燃料燃燒時,煙氣中含有多余的自由氧,通常以干基容積百分數來表示。
3.8
核心控制區 core control region
生態環境敏感度高的區域,包括各類自然保護區、風景名勝區和其他需要特殊保護的區域。
3.9
重點控制區 key control region
人口密度大、環境容量較小、生態環境敏感度較高的區域。
3.10
一般控制區 general control region
人口密度低、環境容量相對較大、生態環境敏感度相對較低的區域,即除核心控制區和重點控制區之外的其他區域。
4 、污染物排放控制要求
4.1 污染物排放控制區劃分
依據生態環境敏感程度、人口密度、環境承載能力三個因素,將全省區域劃分三類控制區,即核心控制區、重點控制區和一般控制區,由設區市人民政府劃定,報省生態環境主管部門備案。
4.2 污染物排放控制要求
4.2.1 新建和現有企業自本標準實施之日起,按所在控制區執行本標準表1中的排放濃度限值,部分行業、工段還應按所在控制區從嚴執行表2中的相應排放濃度限值。
4.2.2 核心控制區內禁止新建污染大氣環境的生產項目;建設其他設施,其污染物排放應滿足表1中的“核心控制區”的排放濃度限值。

表1 大氣污染物排放濃度限值

表2 部分行業、工段需進一步從嚴控制的指標和排放濃度限值
4.2.3 國務院生態環境主管部門或山東省人民政府明確規定執行大氣污染物特別排放限值的地域范圍和時間的,除應執行本標準外,還應按規定達到國家標準中特別排放限值的要求。
4.3 排氣筒高度要求
排氣筒的高度應不低于15 m(儲庫底、地坑及物料轉運點單機除塵設施除外),具體高度按通過審批、審核或備案的環境影響評價文件要求確定。
5 、監測要求
5.1 污染物監測要求
5.1.1 企業應按照有關法律、環境監測管理辦法及排污許可證等規定,建立企業監測制度,制定監測方案,對污染物排放狀況及其周邊環境質量的影響開展自行監測,保存原始監測記錄,并公布監測結果。企業自行監測方案制定、監測質量保證和質量控制等應符合HJ/T 373、HJ 819和HJ 836的要求。
5.1.2 新建企業和現有企業安裝污染物排放自動監控設備的要求,按HJ 75、HJ 76等相關要求及有關法律和規定執行。
5.1.3 排氣筒應設置采樣孔和監測平臺,采樣孔和平臺建設按GB/T 16157、HJ 75、HJ 76、HJ/T 397和HJ 836等相關要求執行,同時設置規范的排污口標志。
5.1.4 實施監督性監測期間的采樣頻次和污染源采樣方法應符合GB/T 16157、HJ/T 397、HJ 836和相關分析方法標準的要求。
5.1.5 對大氣污染物排放濃度的測定采用表3所列的方法標準。本標準發布實施后,有新發布的國家環境監測分析方法標準,其方法適用范圍相同的,也適用于本標準對應污染物的測定。

表3 大氣污染物濃度測定方法標準
5.2 大氣污染物基準氧含量排放濃度折算方法
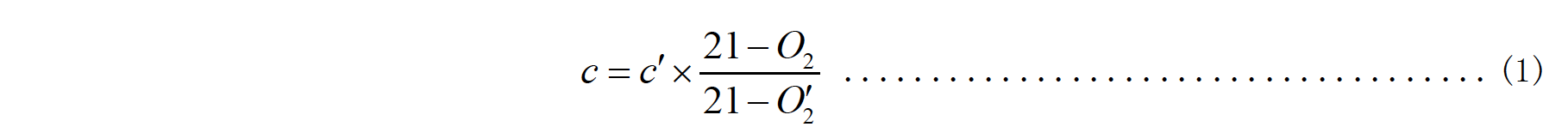
實測的大氣污染物排放濃度,應按表4和公式(1)折算為基準氧含量排放濃度。國家、省規定了行業基準排氣量的,按基準排氣量進行折算。

表4 基準氧含量1

表4 基準氧含量2
大氣污染物基準氧含量排放濃度計算公式
式中:
c ——大氣污染物基準氧含量排放濃度,mg/m3;
c′ ——實測的大氣污染物排放濃度,mg/m3;
O2′ ——實測的氧含量,%;
O2 ——基準氧含量,%。
6 、達標判定
6.1 各級生態環境部門按照相關手工監測技術規范獲取的監測結果超過本標準排放濃度限值的,判定
為排放超標。各級生態環境部門在對企業進行監督性檢查時,可以將現場即時采樣或監測的結果,作為
判定排污行為是否符合排放標準以及實施相關環境保護管理措施的依據。
6.2 特殊工況下的達標判定按國家有關規定執行。
7 、實施與監督
本標準實施后,新制(修)訂的國家或山東省排放標準中大氣污染物的排放限值,通過審批、審核或
備案的環境影響評價文件,排污許可證中相應大氣污染物的排放要求嚴于本標準的,按相應的排放標準
限值或要求執行。